欢迎光临北京安力斯环境科技股份有限公司网站!
销售咨询热线:
010-82890788
您的位置: 网站首页 > 新闻动态 > 技术文章 > 消毒副产物NDMA丨对饮用水体的影响及紫外线解决方案(一)

消毒副产物NDMA丨对饮用水体的影响及紫外线解决方案(一)

更新时间: 2025-10-31
浏览人气: 734
  对饮用水体的影响及紫外线解决方案(一)
 
  随着水质分析技术的进步和公众健康意识的提升,除了传统关注的三卤甲烷(THMs)和卤乙酸(HAAs),一类被称为“新兴消毒副产物(EDBPs)”的污染物也逐渐受到重视。其中,(NDMA)因其强的致癌性(美国环保署将其归为B2类致癌物,终生致癌风险浓度仅为0.7 ng/L)成为研究焦点。
 
  01
 
  背景介绍
 
  NDMA在水处理过程中主要通过含氮有机物前体(如二甲胺)在氯胺(尤其是一氯胺)或氯消毒条件下,经复杂反应生成。此外,部分工业排放和制药行业也是NDMA的重要来源。
消毒副产物NDMA丨对饮用水体的影响及紫外线解决方案(一)
  由于NDMA具有高水溶性和低分子量,常规的混凝、沉淀、过滤等工艺对其去除效率极低,传统氯消毒反而可能促进其生成。因此,NDMA的深度处理技术已成为现代饮用水处理领域亟需解决的重大课题。
 
  紫外线技术凭借其消毒和光化学转化的双重能力,为NDMA的控制提供了独特且有效的解决方案。通过紫外线技术,可以从“预防生成”和“深度去除”两个层面系统解决饮用水中的NDMA问题。
 
  02
 
  NDMA的特性、形成机理与风险
消毒副产物NDMA丨对饮用水体的影响及紫外线解决方案(一)
  ⟡ 特性
 
  NDMA(分子式:C₂H₆N₂O)是一种淡黄色、低挥发性、高水溶性的小分子化合物,这些特性使其难以通过空气吹脱或常规吸附有效去除。
 
  ⟡ 形成机理
 
  机理为:水中存在二甲胺(DMA)、三甲胺(TMA)等叔胺类化合物,或含二甲胺基团的药物、农药等,在氯化作用下,氯胺与二甲胺反应生成(UDMH),UDMH进一步氧化,最终形成NDMA。
 
  值得注意的是,高pH值、过量氯胺和较长反应接触时间都会显著促进NDMA的生成。因此,从源头控制前体物、优化消毒策略(如采用基于紫外线的多屏障消毒策略)是预防NDMA生成的第一道防线。
 
  ⟡ 风险
 
  毒理学数据显示,NDMA具有很强的致突变性和致癌性,对肝脏、肾脏等器官均有损伤。世界卫生组织(WHO)及多国均为其制定了极为严格的饮用水标准(通常为纳克/升级别)。NDMA的形成主要与氯消毒,特别是氯胺相关。
 
  03
 
  紫外线光解
 
  解决NDMA问题的最直接方式
 
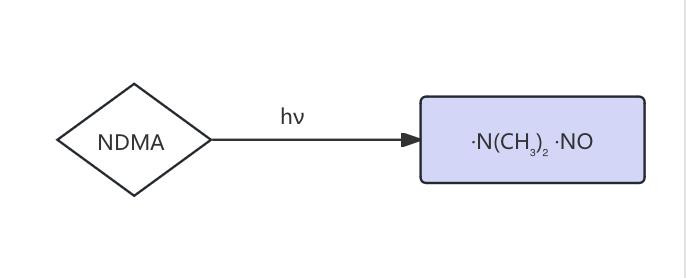
  紫外线技术去除NDMA并非依赖单一机制,而是基于光化学原理的多路径协同体系。其核心机制是直接光解,这是经济高效的方式。NDMA分子在紫外光谱区,尤其是220-260 nm范围内,具有强烈的吸收峰。当UV光子被NDMA分子吸收后,其N-N键发生均裂,生成二甲胺自由基和·NO自由基,这些中间产物可进一步氧化或发生其他反应,最终矿化为无害的硝酸盐、甲胺和二氧化碳。
 
  主要反应
消毒副产物NDMA丨对饮用水体的影响及紫外线解决方案(一)
  紫外线光解技术的优势在于高量子产率。NDMA的直接光解量子产率较高(在254 nm波长下约为0.3),每个被吸收的光子有较高概率引发降解反应,能量利用效率很高,且光解速率常数远高于许多其他有机微污染物。这意味着在较低的UV剂量下即可实现有效降解。
 
  光源选择方面,中压紫外灯(MPUV)是优选,因为其宽谱输出(200-400nm)能覆盖NDMA的最大吸收波段。相比主要输出254 nm的低压紫外灯(LPUV),在同等电功率输入下,MPUV对NDMA的降解效率通常高出30%-50%。
消毒副产物NDMA丨对饮用水体的影响及紫外线解决方案(一)
消毒副产物NDMA丨对饮用水体的影响及紫外线解决方案(一)
  核心反应器
 
  剂量设计方面,为实现1-2个数量级(90%-99%)的NDMA去除,通常需要施加数百至一千 mJ/cm²的UV剂量,这远高于常规消毒所需剂量(40 mJ/cm²)。因此,设备选型和能量配置需以此为基准。需要注意的是,系统剂量与摩尔吸光系数高度相关,通俗来说就是紫外线透过率(UVT),剂量设计首先要考虑UVT的波动。
 
  04
 
  紫外高级氧化工艺(UV-AOPs)
 
  解决NDMA问题的有效方式
 
  当水体背景复杂,存在大量紫外吸光物质(如天然有机物NOM)与NDMA竞争光子时,直接光解效率会因“内滤效应”大幅降低。此时需引入紫外高级氧化技术(UV-AOPs),如UV/H₂O₂工艺。
消毒副产物NDMA丨对饮用水体的影响及紫外线解决方案(一)
安力斯高级氧化系统
 
  UV光解H₂O₂可产生强氧化性的·OH自由基。·OH无选择性地攻击NDMA分子,通过氢原子抽取等途径使其降解。·OH的氧化性很强,反应速率常数很高,能有效克服背景有机物对光子的竞争,保证在复杂水质下NDMA的稳定去除。
消毒副产物NDMA丨对饮用水体的影响及紫外线解决方案(一)
安力斯紫外高级氧化设备
 
  此外,紫外高级氧化体系中同时存在直接光解和·OH氧化两条路径,处理效果更有保障。该技术适用于UVT较低(如<90%)、NDMA前体物浓度高或需同时去除多种微量有机污染物的场景。
分享到: